Abstract
Background. Neomycin is a natural aminoglycoside antibiotic produced by actinomycete Streptomyces fradiae. It exerts bacteriostatic and bactericidal activity against Gram-negative bacteria, certain Gram-positive bacteria and Mycobacterium tuberculosis. Neomycin inhibits the biosynthesis of bacterial proteins by impairing their life functions, leading to death of cells.
Objectives. To examine the effect of molecular weight of polylactide (PLA), the applied stabilizer as well as mixing speed used in the encapsulation process on the size of obtained spheres. Examination of the kinetics of neomycin release from the obtained PLA spheres and determination of the antimicrobial activity of the neomycin-containing spheres against selected strains of bacteria, yeast and fungi have also been necessary.
Materials and methods. Polylactide (Mn 3000–40,000 g/mol) was obtained in-house. Other materials used in the study were as follows: L-lactic acid (PLLA; Mn 66,500 g/mol and 86,000 g/mol), polyvinyl alcohol (PVA) as a stabilizer of emulsion (Mw 30,000 g/mol, 130,000 g/mol; degree of hydrolysis 88%) as well as dichloromethane, p.a. and dimethyl sulfoxide (DMSO), p.a. as solvents. Distilled water was obtained in-house. Neomycin sulfate was used for encapsulation; phosphate (pH 7.2) and acetate (pH 4.5) buffers were used for the examination of the active pharmaceutical ingredient (API) dissolution profile. Antimicrobial activity was tested using commercial cell lines and the following media: Mueller–Hinton agar (MHA), Mueller–Hinton broth (MHB), yeast extract peptone dextrose (YPD), and potato dextrose agar (PDA).
Results. Neomycin-containing PLA spheres were obtained using an emulsion method. The average molecular weight of PLA, the average molecular weight of PVA and mixing speed on the size of obtained spheres were investigated. Furthermore, the profile of API dissolution from the spheres and antimicrobial activity of neomycin-containing spheres against certain strains of bacteria, yeast and fungi were determined.
Conclusions. We demonstrated that efficient encapsulation of neomycin requires spheres of a <200 mm diameter.
Key words: encapsulation, polyesters, drug delivery systems
Background
Controlled-release drug delivery systems (DDS) are a modern form of medicines. Compared to conventional dosage forms, they are characterized by a long-lasting therapeutic effect, improved biodistribution of active pharmaceutical ingredient (API) and minimization of toxic adverse reactions.1 As a result, they increase the therapeutic index of conventional pharmaceuticals.2 Among the recently developed DDSs available on the market,3 polymeric spheres are distinguished by various applications.4
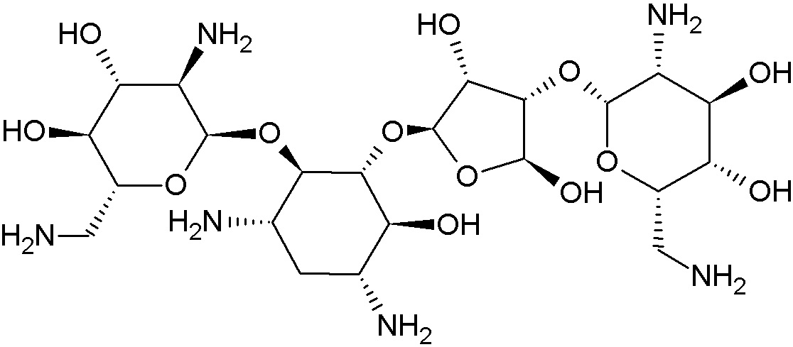
Neomycin is a natural aminoglycoside antibiotic produced by the actinomycete Streptomyces fradiae (Figure 1). It has bacteriostatic and bactericidal activity against Gram-negative bacteria, certain Gram-positive bacteria and Mycobacterium tuberculosis.5 Neomycin inhibits the biosynthesis of bacterial proteins by impairing their life functions, leading to cell death. Despite its broad spectrum of activity, neomycin is rarely used due to its harmful effect on the inner ear and kidneys (oto- and nephrotoxicity). Therefore, it is applied mainly externally in diseases of the skin, eyes and mucous membranes, or administered parenterally in the treatment of septicemia.6 For these reasons, efforts have been undertaken to develop novel, more valuable forms of neomycin administration in an attempt to improve its absorption and minimize its toxic adverse effects.7
Polymeric spheres bring hope to current limitations related to the delivery of neomycin.8 The spheres are ball-shaped particles, in which the active substance may be bound to the polymer matrix (prodrugs), suspended therein or adsorbed on their surface.9 The systems for delivering antibiotics within a polymer matrix ensure a slow release of API to the body,10 which reduces adverse effects and increases the therapeutic index of API.11
Polymer spheres used in DDS have diameters of 10–300 nm. It is believed that small spheres (less than 100 nm in diameter) show better biodistribution within the body and are less prone to premature degradation by phagocytic cells of the immune system.12 However, it should be noted that due to the size and structural complexity of their molecules, encapsulation of some APIs in polymer matrices requires large spheres (over 100 nm in diameter) and also long-chain polymers.13 An example of such API is neomycin, which is characterized by a complex structure of 4 aminoglycoside rings.14
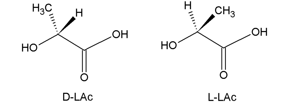
The polymer widely used in DDS is polylactide (PLA), a biocompatible and biodegradable aliphatic polyester.15 Within the organism, it undergoes decomposition to non-toxic products (carbon dioxide and water) that are readily eliminated. Polylactide consists of linearly linked moieties of lactic acid (LA).16 Since LA exists in 2 enantiomeric forms (Figure 2), it is possible to obtain polymers of various configurations at their chiral centers and, thus, different physical properties.17 Homochiral PLA that consists solely of molecules of either L-lactic acid (PLLA) or D-lactic acid (PDLA) is characterized by high mechanical strength and long biodegradation time that improves as the carbon chain lengthens. Heterochiral polylactide that contains both enantiomers of LA in its structure is more elastic and undergoes biodegradation more readily.18 Only the L-isomer of LA is metabolized in the body, while the D-enantiomer may accumulate in tissues leading to acidification of the body.19 Therefore, PLLA having a low molecular weight and containing several percent of the D-monomer is most relevant for pharmaceutical applications.20
The purpose of this study was to examine the effects of the molecular weight of PLA, the applied stabilizer as well as the mixing speed used in the encapsulation process on the size of obtained spheres. Examination of the kinetics of neomycin release from the obtained PLA spheres and determination of the antimicrobial activity of the neomycin-containing spheres against selected strains of bacteria, yeast and fungi have also been necessary.
Materials and methods
Material
Poly-L-lactide (Mn 3000–40,000 g/mol) used for preparing the spheres has been obtained in-house. Other materials used in the study were as follows: PLLA (Mn 66,500 g/mol and 86,000 g/mol (Nature Works, Minnetonka, USA)), polyvinyl alcohol (PVA) as a stabilizer of emulsion (Mw 30,000 g/mol and 130,000 g/mol; degree of hydrolysis 88%, Mowiol®; Sigma–Aldrich, St. Louis, USA) as well as dichloromethane, p.a. and dimethyl sulfoxide, p.a. (POCH S.A., Gliwice, Poland) as solvents. Distilled water was obtained in-house. Neomycin sulphate (Sigma–Aldrich) was used for encapsulation; phosphate (pH 7.2) and acetate (pH 4.5) buffers (POCH) were used for the examination of the API dissolution profile. Antimicrobial activity was tested using commercial cell lines and the following media: Mueller–Hinton agar (MHA), Mueller–Hinton broth (MHB), yeast extract peptone dextrose (YPD), and potato dextrose agar (PDA) purchased from Merck Millipore (Burlington, USA) or BioCorp (Issoire, France). As a control, antibiotic with a well-established antimicrobial activity was used – either Amphotericin B against yeast and filamentous fungi, or Ampicillin sodium salt against bacteria. These were purchased from BioShop (Dourges, France).
Preparation of neomycin-containing spheres
The neomycin-containing spheres were prepared employing an emulsion method. At first, the following solutions of polymers having various molecular weights were prepared: a 1% wt solution of PLA in dichloromethane and 0.1% wt solution of polyvinyl alcohol (PVA) in distilled water. The PVA solution (100 mL) was placed in a round-bottom flask immersed in a water bath that was standing on a magnetic stirrer (RTC Basic IKA; Sigma–Aldrich) and was provided with a temperature controller (ETS-D5 IKA). The temperature was set at 25°C and the stirring speed at 600 min−1 or 1200 min−1. Next, neomycin (5% wt relative to PLLA) was added to the above solution. After thoroughly mixing the solution and stabilizing experiment conditions, PLLA solution (5 mL) was added dropwise within 15 min through a pressure-equalizing dropping funnel, and the obtained suspension of spheres was stirred for 1 h at 25°C to evaporate the solvent. The flask content was filtered through a 3G sintered glass filter funnel and then analyzed using dynamic light scattering (DLS).
Empty spheres were prepared analogously as the API-containing spheres, except for the active substance addition step.
Analytical methods
The size (d – diameter) of the obtained spheres was determined with DLS using Zetasizer Nano Z.S. from Malvern Instruments (Malvern, UK). The measurements were performed in polystyrene cuvettes. The UV-VIS spectra for determining the dissolution profile and optical density of the cultures were recorded using the Synergy H4 microplate reader from BioTek (Winooski, USA).
Release profile
The profile of API release from the spheres was determined from a calibration curve. The calibration curve of the absorbance of the aqueous solution of neomycin was measured at a concentration of 0.5 mg/mL, 0.25 mg/mL, 0.125 mg/mL, and 0.067 mg/mL. The tests have covered suspensions of neomycin-containing spheres (without any pre-treatment) mixed with the acetate or phosphate buffer (1:1 v/v) and the buffers not containing the spheres. Samples of the solutions were placed in wells of 96-well 200 µL NuncTM plates (Thermo Fisher Scientific, Waltham, USA) and then incubated at 37°C. At appropriate time intervals, absorbance was measured with spectrophotometry at the wavelength of neomycin maximum absorption λ = 360 nm.
Antimicrobial activity
Antimicrobial activities of neomycin-containing spheres, empty spheres and neomycin were tested against bacteria, yeast and filamentous fungi. Inhibitory activity against bacteria and yeast was determined using 2 methods: tests on a solid medium and in a liquid medium.
The following microorganisms were used for tests: Staphylococcus aureus ATCC 6538, Escherichia coli ATCC 8739, Bacillus subtilis ATCC 6633, Salmonella typhimurium ATCC 14028 bacteria, Candida albicans ATCC 10231 yeast, Aspergillus niger ATCC 16404 mould and Colletotrichum coccodes MC 1, Fusarium oxysporum M.F. 5, and Fusarium sambucinum M.F. 1 filamentous fungi, received from the IHAR-PIB collection of Plant Breeding and Acclimatization Institute (Młochów, Poland).
Preparation of cultures
of bacteria and yeast
A sterile loop full of material from a single colony of bacterium or yeast was used to inoculate 10 mL of liquid MHB or YPD medium in a 100 mL Erlenmeyer flask. Cultures were incubated overnight (about 18 h) at 37°C, shaking at 200 rpm using Benchtop shaker LabCompanion SI-600R (Jeio Tech, Daejeon, South Korea). Next, the overnight cultures were diluted in fresh medium (MHB or YPD) to desire suspension of colony-forming units per mL – 108 cfu/mL or 105 cfu/mL, based on the previously prepared growth curves for each microorganism.
Preparation of the tested solutions
Neomycin, ampicillin and amphotericin were dissolved in sterile dimethyl sulfoxide (DMSO) to obtain concentrations of 20 mg/mL. Suspensions of the spheres containing the active substance and suspensions of empty spheres were added directly to the corresponding medium, without any pre-treatment.
Tests of antimicrobial activity
on a solid medium
Briefly, 100 µL of cell suspension of 108 cfu/mL was distributed evenly on a suitable medium (MHA for bacteria or YPDA for yeast) and allowed to dry. Disks of Whatman paper (5 mm in diameter, 3MM; Sigma–Aldrich) were placed on the seeded agar plates, and 10 µL of the samples were prepared as above (neomycin solution, empty spheres, neomycin-containing spheres and control antibiotics, respectively) and the suitable solvents were applied to the medium. The samples were incubated at 37°C for 24 h. After incubation, microbial growth inhibition zones were measured for the tested samples, pure substances and the solvent, and the results were compared to the zones of microbial growth inhibition obtained for the control antibiotics (for bacteria: ampicillin, for yeast: amphotericin). Sample activity was determined by measuring the diameter of inhibition of the growth zone.
Tests of activity in a liquid medium
Briefly, 100 µL of appropriate medium (MHB for bacteria and YPD for yeast) and 20 µL of the tested samples (solution of neomycin, empty spheres and neomycin-containing spheres, respectively) were placed in wells of 96-well plates. Next, 100 µL of microorganisms from the suspension of 105 cfu/mL was added to each well. The plates were placed in an incubator shaker (200 min–1) at 37°C for 24 h. After 24 h of incubation, optical density (OD) of the cultures provided with inhibitors was measured using the spectrophotometric method at the wavelength λ = 600 nm, and the results were compared to the OD of the controls (without the spheres or free antibiotics). Antimicrobial activity was calculated from the Equation 1:
where:
OD – optical density of a culture of microorganisms with the addition of the active substance or spheres and
ODcontrol – optical density of a culture of microorganisms without the addition of the active substance.
Tests of activity against filamentous fungi
Briefly, 1 mL of the tested preparation (solution of neomycin, empty spheres or neomycin-containing spheres, respectively) was added to 100 mL of dissolved PDA medium. The prepared mixtures were poured into Petri dishes and allowed to solidify. Next, mycelial disks (diameter: 6 mm) were cut out of the actively growing fungal mycelium on PDA and transferred onto the Petri dishes containing the tested and reference (without the addition of active substances) preparations, respectively.21 The Petri dishes were incubated at 25°C for 3–5 days, depending on the fungal growth rate. After incubation, dimensions of the zones of fungal growth in the presence of special preparations were measured. Next, it was compared to those of the reference samples. The activity of the preparations was calculated from the Equation 2:
where:
d [mm] – the diameter of the zone of fungal growth in the presence of the tested preparation and
dcontrol [mm] – the diameter of the zone of fungal growth without the addition of the active substance.
Results
Preparation of neomycin-containing spheres
Effects of molecular weights of PLLA (Mn) and PVA (Mw) and the mixing rate on the diameter of neomycin-containing spheres were examined (Figure 3, Figure 4).
DLS analysis
The size of the obtained spheres was measured using the DLS method by determining a relationship between light scattering intensity and the number of particles of a certain radius. The relation between the fraction of particle size and the radius of the particles is shown in Figure 5. In some cases, 2 maxima of particle size distribution could be seen (Figure 6).
API release profile
The profile of API release from the PLA spheres was established by determining a relationship between absorbance (proportional to antibiotic concentration) and incubation time of the samples (Figure 7). The examined spheres had diameters of 150 nm and 200 nm. The measurements were carried out in acetate buffer (pH 4.5) and in phosphate buffer (pH 7.2) to compare release kinetics in the media of various pH.
Antimicrobial activity
of the neomycin-containing spheres
Tests of activity on a solid medium
Antimicrobial activity of the empty spheres, neomycin and neomycin-containing spheres (diameter ca. 200 nm) against bacteria and yeast has been tested on the solid medium (Table 1). The inhibitory effect of the sample was determined by the size of the inhibition of the growth zone. An inhibitory effect of DMSO (solvent for neomycin) on the tested strains has been excluded.
Tests of activity in a liquid medium
To examine the accuracy of the tests on a solid medium, the activity of the tested preparations against bacteria and yeast was examined using a liquid medium (Figure 8). The toxicity of preparation against a given strain was proven by a 50% decrease in OD of the corresponding culture.
Tests of activity against filamentous fungi
The tests have also examined antimicrobial activity against filamentous fungi on a solid medium (Figure 9). As in previous cases, neomycin-containing spheres having a diameter of ca. 200 nm were used for this purpose, with empty spheres serving as a reference sample. A 50% cell death was adopted as a threshold of toxicity of a tested sample against a given strain.
Discussion
Preparation of neomycin-containing spheres
The effect of the number-average molecular weight, Mn, of PLLA, the weight-average molecular weight, Mw, of polyvinyl alcohol and stirring speed on the size of obtained spheres were examined (Figure 3, Figure 4). In the case of poly-L-lactide with Mn 3000 g/mol and PVA with Mw 130,000 g/mol, the diameter of the spheres was minimal (approx. 50 nm). On the other hand, larger spheres, 230–300 nm in diameter, were obtained from higher molecular weight polymers (Mn 13,000–86,000 g/mol) (Figure 4).
We found that the effect of the average molecular weight (Mw) of polyvinyl alcohol on the diameter of formed spheres is associated with the applied mixing speed (600 min–1 or 1200 min–1). In PVA of Mw 30,000 g/mol, the differences in sphere diameters were minor for each mixing speed (Figure 3). At the mixing speed of 600 min–1, the diameter of the obtained spheres was in the range of 140–260 nm (with 1 exception), while at 1200 min–1, it was in the range of 170–230 nm.
According to the manufacturer’s data, the viscosity of PVA solutions increases with elevations in Mw (at 20°C, the viscosity of a 1% aqueous solution of PVA having Mw 30,000 g/mol is 4 cP, while for PVA having Mw 130,000 it increases to 18 cP). As a rule, the spheres obtained at the mixing speed 600 min–1, with the use of PVA having Mw 130,000 g/mol, were much smaller (less than 70 nm in diameter) than those obtained at the mixing speed 1200 min–1 (200–300 nm) (Figure 4). Therefore, to obtain spheres larger than 200 nm, one should appropriately increase the mixing speed.
We also observed that the volume of the spheres obtained from PLLA having Mn 3,000 g/mol was presumably too small to accommodate a neomycin molecule inside it. Hence, PLLA of a higher number average molecular weight was used in further investigations.
DLS analysis
of neomycin-containing spheres
The graph illustrating a relation of the number of same-size spheres (measured with the DLS method) and their radius resembles the Gaussian curve (normal distribution) (Figure 5). In some cases, curves showing 2 distinct maxima have been recorded (Figure 6). Two maxima indicate the presence of 2 fractions of spheres varying in diameters. The spheres from the 1st fraction had a small diameter, less than 100 nm, whereas those from the 2nd fraction had a much larger diameter, over 150 nm. The graph showing only 1 single maximum of the sphere size that corresponds to the diameter of the spheres under 100 nm was related to low stirring speed (600 min–1) for Mw of PVA 130,000 g/mol, independently of Mn of PLLA. In the case of PLLA of Mn 3000 g/mol, the spheres having diameters under 100 nm were obtained using PVA of Mw 130,000 g/mol, both at low (600 min–1) and high (1200 min–1) stirring speed. Two maxima of the particle size distribution, corresponding to diameters of the spheres ca. 80 nm and 160 nm (Figure 6), were obtained for PLLA of Mn 40,000 and 86,000 g/mol, respectively. The observations discussed above have suggested that the spheres smaller than 100 nm most likely do not contain neomycin, whereas the antibiotic is present in the particles having diameters over 150 nm.
Profile of neomycin release
from the spheres
Kinetics of neomycin release from the PLLA spheres was examined in an acidic medium (acetate buffer) and nearly neutral medium (phosphate buffer). Following the hypothesis that neomycin may be contained in spheres having a diameter of at least 150 nm, the examined spheres had diameters of 150 nm and 200 nm. For each size of the spheres, the degradation of PLLA associated with neomycin release was faster and simultaneously more favorable in the phosphate buffer, which is similar to the physiological range. This result has been considered more important because the pH of the phosphate buffer is more closely resembling conditions in the organism. Rates of API dissolution from smaller (150 nm) and larger (200 nm) spheres were similar; however, the amounts of free antibiotic at the starting point were different. The amounts of free neomycin outside the spheres (i.e., in the aqueous solution and on the surface of spheres) were determined by measuring neomycin concentration at the starting point. A low concentration of neomycin at the starting point proves a high yield of encapsulation and vice versa. From the API dissolution profiles, one could conclude that approx. 70% of the active substance was encapsulated in 150 nm spheres, and approx. 90% in spheres of 200 nm in diameter. An increase of neomycin concentration in the solution during the experiment, compared to the starting point, is a proof of the presence of the antibiotic in the spheres. It has been found that the time required to complete dissolution of the antibiotic from the polymer matrix is relatively long and reaches approx. 30 h.
Antimicrobial activity
of the neomycin-containing spheres
Tests of activity on a solid medium
Results of antimicrobial activity against bacteria and yeast obtained from tests on a solid medium have confirmed that neomycin inhibits the growth of all tested microorganisms. The neomycin-containing spheres have shown inhibitory activity against the same strains as the active substance, although less distinct. It was shown that poly-L-lactide, and, more precisely, the product of its hydrolysis, i.e., lactic acid and its oligomers (referred to empty spheres), inhibit the growth of B. subtilis only (Table 1). It was recognized that the lower activity of neomycin-containing spheres, as compared to the pure substance, represents the occlusion of the antibiotic in the polymer matrix. Due to the necessity of polymer degradation, the release of neomycin from the spheres requires a longer time. This process is advantageous as the slow release of API is the task of polymer spheres as DDS.
Tests of activity in a liquid medium
Results of the antimicrobial activity tests against bacteria and yeast on a liquid medium were in all cases consistent with those from the tests on a solid medium (Figure 8). However, the tests in a liquid medium appeared more accurate since the differences of activity between the neomycin-containing spheres and free API were larger. Liquid mediums provided better availability of the examined preparation for the microbial cells, and therefore, they better resemble conditions that naturally prevail in living organisms.
Tests of activity against filamentous fungi
The tests determined the characteristics of examined preparations against filamentous fungi on a solid medium (Figure 9). Neomycin inhibits the growth of all kinds of fungi and its lowest activity is observed against C. coccodes. Additionally, neomycin-containing spheres did not show toxicity solely against C. coccodes; the free antibiotic was also the least active against this microorganism. It was found that LA and its oligomers originating from hydrolysis of PLLA (empty spheres) do not show activity against any kinds of fungi. As in bacteria and yeast, the neomycin-containing spheres had weaker inhibitory activity than the free antibiotic, which may be attributed to occlusion of the neomycin in the polymer matrix and slow degradation of the polymer. Based on the above observations, it has been concluded that the neomycin-containing spheres have antimicrobial activity against filamentous fungi.
Conclusions
It was previously understood that the most desirable spheres for DDS should have minimal diameters (<100 nm). On the other hand, due to the size and complexity of the neomycin molecule, its encapsulation requires spheres having diameters over 150 nm. This research shows that efficient encapsulation of neomycin requires PLLA of more considerable molecular weight (Mn ≥ 13,000 g/mol). Furthermore, in PLLAs of considerable molecular weight, and hence, high viscosity, encapsulation should be performed with intense stirring (1200 min–1). Inadequate process conditions could result in empty spheres (without the antibiotic).
Based on the profile of API dissolution from the PLLA spheres, it was demonstrated that the yield of the active substance encapsulation in the 200 nm spheres reaches 90% and in the 150 nm spheres – 70%. The kinetics of antibiotic release was similar for the 150 nm and 200 nm spheres. Considering similar release rates and a larger (90%) yield of neomycin encapsulation in the larger (200 nm) spheres, one could conclude that the larger spheres are more suitable for DDS. We also observed neomycin release to be faster at nearly physiological pH (7.2) than in an acidic medium (pH = 4.5). The total time of neomycin release from the spheres is relatively long (approx. 30 h); hence, it meets the requirements of DDS.
The most important achievement of this study has been the preparation of the neomycin-containing spheres and the demonstration that they have inhibitory activity against bacteria, yeast and filamentous fungi. However, it is weaker than that of the free active substance (controlled release rate).
Up to now, neomycin-containing spheres were not described as a dosage form of this antibiotic. They were considering inhibitory activity against microorganisms and slow dissolution of neomycin. It may be assumed that the application of this DDS would allow for the reduction of adverse effects and could possibly enhance the therapeutic index of the active substance.
Wprowadzenie. Neomycyna jest naturalnym antybiotykiem aminoglikozydowym produkowanym przez promieniowce Streptomyces fradiae. Działa bakteriostatycznie i bakteriobójczo na bakterie Gram-ujemne, niektóre bakterie Gram-dodatnie oraz na Mycobacterium tuberculosis. Neomycyna hamuje biosyntezę białek bakteryjnych poprzez upośledzenie ich funkcji życiowych, prowadząc do śmierci komórek.
Cel pracy. Celem pracy było zbadanie wpływu masy cząsteczkowej polilaktydu (PLA), zastosowanego stabilizatora oraz szybkości mieszania stosowanej w procesie enkapsulacji na wielkość otrzymanych sfer. Niezbędne było również zbadanie kinetyki uwalniania neomycyny z otrzymanych sfer PLA oraz określenie aktywności antymikrobiologicznej sfer zawierających neomycynę wobec wybranych szczepów bakterii, drożdży i grzybów.
Materiał i metody. Polilaktyd (Mn 3 000–40 000 g/mol) zsyntetyzowano we własnym zakresie. Inne materiały użyte w badaniach to: kwas mlekowy (PLLA) (Mn 66 500 g/mol i 86 000 g/mol (Nature Works)), poli(alkohol winylowy) (PVA) jako stabilizator emulsji (Mw 30 000 g/mol, 130 000 g/mol oraz stopień hydrolizy 88%, Mowiol) oraz dichlorometan (cz.d.a.), dimetylosulfotlenek (cz.d.a.) jako rozpuszczalniki. Wodę destylowaną uzyskano na miejscu. Do enkapsulacji stosowano siarczan neomycyny (Sigma–Aldrich); Do badania profilu rozpuszczania API zastosowano bufory fosforanowe (pH 7,2) i octanowe (pH 4,5). Aktywność antymikrobiologiczną zbadano przy użyciu komercyjnych linii komórkowych i następujących pożywek: agar Muellera–Hinton, bulion Muellera–Hinton, ekstrakt drożdżowy z peptonem z dekstrozą i ziemniaczany agar z dekstrozą.
Wyniki. Polilaktydowe sfery zawierające neomycynę otrzymano metodą emulsyjną. Zbadano wpływ średniego ciężaru cząsteczkowego polilaktydu, średniego ciężaru cząsteczkowego PVA oraz szybkości mieszania na rozmiar otrzymanych sfer. Ponadto wyznaczono profil uwalniania API ze sfer i aktywność antymikrobiologiczną wobec wybranych szczepów bakterii, drożdży i grzybów strzępkowych.
Wnioski. Wykazano, że neomycyna efektywnie enkapsuluje w sferach o średnicy <200 nm.
Słowa kluczowe: enkapsulacja, poliestry, systemy dostarczania leków













